2021年9月,太阳集团tcy8722网站教师解春雷以第一作者身份在国际学术期刊《IEEE Signal Processing Letters》上发表论文“Constructions of Optimal Binary Z-Complementary Sequence Sets With Large Zero Correlation Zone”(具有大零相关区最优二进制Z互补序列集的构造)。论文第一署名单位为大阳城集团网站8722。
文章简介
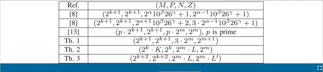
该论文通过布尔函数构造了一类长度为3·2m的非周期二进制Z互补序列集,再通过应用正交序列提出了一类具有更多的二进制Z互补序列集,最后构造了一类具有大零相关区长度为2m·L的最优二进制Z互补序列集,其中L为Z互补序列对的长度。


构造的Z互补序列集相比已知的结果具有更加灵活的序列长度,这些系统的构造方法可以生成更多具有新的序列长度和序列大小的Z互补序列集。
期刊介绍
IEEE Signal Processing Letters是信号处理领域颇具影响力的国际主流期刊,主要报导信号、图像、语音、语言和音频处理方面前沿技术,该刊当前影响因子为3.201,在中科院和科睿唯安JCR分区中均属于Q2类期刊。